Next: Results and Discussion Up: Previous: Identification of Tau

Data Analysis

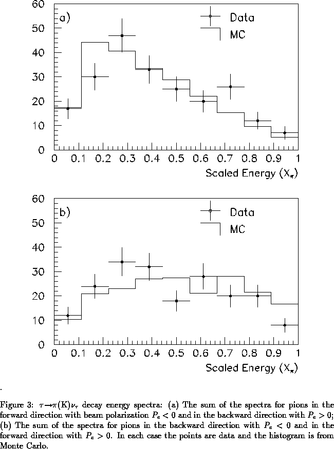
Section , and Fig. in particular, show how the average polarization of the changes going from positive to negative electron beam polarization or from forward to backward scattering angles. Even before applying any corrections, one can clearly see in the SLD data the differences in the decay particle energy spectra due to different regions of and . Fig. 3 shows the energy spectrum of decays for both data and Monte Carlo, plotted separately for two regions of (). Fig. 3(a) shows the spectrum for and combined with and , while Fig. 3(b) is for events with and together with events with and . The difference is expected to be less obvious in the three-body decays , but is still quite visible as shown in Fig. 4.

The tau neutrino helicity, , and the Michel parameters and are determined using an unbinned maximum likelihood fit to the energy spectra of the decay channels and . The fit function is the theoretical differential cross section (Eq. ) corrected for radiative and detector effects.

In the maximum likelihood technique, the following expression is minimized:

where is the likelihood function. The sum in Eq. runs over all 's that have been identified as , or candidates ( respectively). The term in the logarithm is the differential cross-section for production of -pairs where one decays into channel . This expression is corrected for effects of radiation, detector resolution, efficiency and backgrounds, and is normalized to unity.

The corrected cross-section can be written in the following form,

Here is the efficiency for selecting a -pair event in which one tau decays via channel (=e, , ); is the efficiency to identify the decay channel ; corresponds to the distribution of contamination from misidentified decays; and is the background contribution from events which are not tau-pairs. These efficiencies and backgrounds were determined from Monte Carlo by studying the distribution of kinematic variables before and after event selection. The dependence of these functions on and were parameterized using low order polynomials.

The functions are obtained from the theoretical decay spectra after applying radiative corrections and convoluting with the detector resolution function:

The functions represent the differential cross-sections for production of -pairs with polarized electrons, corrected for detector resolution and radiative effects:

The , represent the detector response functions, i.e. the distribution of the measured , for a given true , , respectively. The radiative correction functions and are determined from the ratio of the spectrum generated using KORALZ [11] for events containing radiative effects to the spectrum of events generated with the Born level cross-sections.

Eq. shows that the statistical precision in the extraction of the parameter is not enhanced by the beam polarization, and our systematic uncertainty in its measurement is relatively large. Since is well measured elsewhere [16] [17], we have fixed its value to a world average. As appears in the expression only in the product , we fit for and this product to reduce errors due to correlations.



Next: Results and Discussion Up: Measurement of the tau Charged Weak Couplings Previous: Identification of Tau


Erez@Slac
Mon Sep 11 10:16:22 PDT 1995