Next: Data Analysis Up: Event Selection Previous: Event Selection

Identification of Tau Decays

Selected tau events are divided into hemispheres by the plane normal to the event thrust axis, and the hemispheres are treated independently. Any pairs of oppositely charged tracks which are consistent with originating from a photon conversion are removed, and hemispheres are then required to have only a single track.

For the selection of tau decays to single pions (or kaons), tracks are required to have no unassociated electromagnetic (EM) LAC energy clusters within of the thrust axis. This requirement is powerful for rejecting backgrounds from decays into or . Electrons and muons are rejected by a series of hybrid cuts applied with increasing strength, making use of the electromagnetic and muon calorimeter information. The information used consists of E/p, hadronic energy, cluster shape, and energy deposited in the WIC. For the tracks that are left, the associated EM cluster must have fewer than 16 hit towers and the track momentum must be greater than 3 GeV/c. A further requirement of is made, and a quasi-invariant mass is calculated assuming that the associated cluster energy originated from photons and that the track is a pion. This quantity is required to be less than 0.3 GeV/c.

Finally, due to the barrel WIC angular coverage, the remaining tracks are divided into two regions, namely and . The total energy in the LAC divided by the track momentum is required to be greater than 0.1 in the former and 0.3 in the latter case. These criteria discriminate effectively against muons.

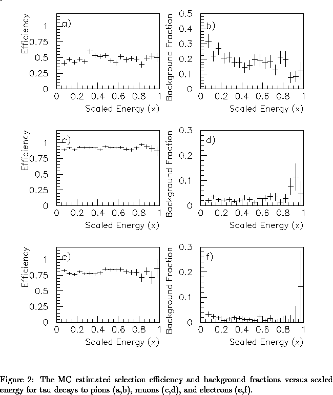
This selection provides a sample of 411 tracks identified as from the 1993-1995 data, with an efficiency of approximately 48%and a purity of 84%. The selection efficiency and background fraction for these decays are plotted in Fig. 2(a) and 2(b) as a function of the scaled energy of the track.

For tau decays to muons, the sample is divided into the same polar angle regions as above. In the region of , the WIC is used to identify muons by associating WIC hits with CDC tracks. In the region, shower information from the LAC is used instead. We require that E/p be less than 0.3, that the total number of electromagnetic LAC towers hit in the associated cluster be less than 4, and that there be no unassociated neutral clusters within of the track. In addition, the quasi-invariant mass (calculated as above) is required to be less than 180 MeV/c. This results in a sample of 1137 tracks identified as muons, with an estimated selection efficiency of 92%within the acceptance, and an estimated purity of 94%. Fig. 2(c) and 2(d) show the selection efficiency and background fraction for these tracks.

Criteria for selection of tau decays to electrons are consistent over the full range . The LAC shower shape must be consistent with that of an electron, or any valid CRID data must strongly favor the electron hypothesis over the pion hypothesis. We require that no energy be deposited in the back hadronic section of the LAC, and that between 3 and 25 electromagnetic LAC towers be hit in the associated cluster. In addition, if there are no unassociated neutral clusters within of the track, we require that the quasi-invariant mass be less than 500 MeV/c. If there are one or two unassociated clusters within of the track, we construct the invariant mass of the cone assuming the track is a pion and the clusters photons, and require this quantity to be less than 500 MeV/c. This results in a sample of 863 identified electron tracks with an estimated efficiency of 80%within the acceptance and an estimated purity of 98%. The efficiency and backgrounds versus scaled energy of these tracks are shown in Fig. 2(e) and 2(f).



Next: Data Analysis Up: Event Selection Previous: Event Selection


erez@
Mon Sep 11 10:16:22 PDT 1995